[KEMBALI KE MENU SEBELUMNYA]
Anti Kebakaran Rumah Menggunakan Sensor MQ-2 dan Flame sensor
1. Untuk memahami cara kerja dari sensor MQ-2 dan Flame Sensor
2. Untuk memahami cara mensimulasikan rangkaian melalui aplikasi Proteus
Alat:
Alat
1. Power Supply DC
Power Supply adalah alat listrik yang dapat menyediakan energi listrik untuk perangkat elektronika lainnya.
2. Voltmeter
Voltmeter merupakan alat ukur yang berfungsi untuk mengukur besar tegangan yang ada pada sebuah rangkaian listrik.
1. Resistor
Spesifikasi Resistor:
2. Transistor
Konfigurasi pin:
Spesifikasi:
3. Op-Amp
Konfigurasi pin:
Spesifikasi:

4. Sensor MQ-2
Konstruksi sensor MQ-2Konfigurasi pin
1.
Pin 1 merupakan heater
internal yang terhubung dengan ground.
2. Pin 2 merupakan tegangan sumber (VC) dimana Vc < 24 VDC.
3. Pin 3 (VH) digunakan untuk tegangan pada
pemanas (heater internal) dimana VH = 5VDC.
4. Pin 4 merupakan output yang akan menghasilkan tegangan analog.
5. Flame Sensor
Konfigurasi pin:
6. Relay
Relay adalah komponen yang berfungsi untuk mengalirkan arus listrik yang besar dengan menggunakan kendali listrik arus kecil. Relay memiliki fungsi sebagai saklar atau elektromagnetik switch yang mana dikendalikan oleh magnet listrik.
Konfigurasi pin
Spesifikasi relay
7. Buzzer
8. Lampu
Lampu adalah sumber cahaya buatan yang dihasilkan melalui penyaluran arus listrik melalui filamen yang kemudian memanas dan menghasilkan cahaya.
Spesifikasi :
Lampu yang digunakan memiliki tegangan sebesar 12 V.
- Vin=12 V
- Bahan = Kaca
- Daya = 15 Watt
9. Logicstate
Gerbang Logika (Logic Gates) adalah sebuah entitas untuk melakukan pengolahan input-input yang berupa bilangan biner (hanya terdapat 2 kode bilangan biner yaitu, angka 1 dan 0) dengan menggunakan Teori Matematika Boolean sehingga dihasilkan sebuah sinyal output yang dapat digunakan untuk proses berikutnya
1. Resistor
Resistor merupakan komponen elektronik yang memiliki 2 pin dan dapat mengatur tegangan listrik dan arus listrik. Resistor mempunyai nilai yang dapat mengatur nilai arus dan tegangan listrik dan dapat ditentukan menggunakan persamaan Ohm.
Cara menentukan nilai resistansi:
Memasukkan nilai yang ditunjukkan pada gelang pertama.
Memasukkan nilai yang ditunjukkan pada gelang kedua.
Memasukkan nilai yang ditunjukkan pada gelang ketiga.
Memasukkan nilai yang ditunjukkan pada gelang keempat sebagai banyaknya jumlah nol.
Gelang kelima merupakan nilai toleransi jika ada.
2. Transistor
Transistor merupakan komponen semikonduktor yang memiliki berbagai macam fungsi seperti penguat, pengendali, penyearah, osilator, modulator, dan lain sebagainya.
Rumus:
Karakteristik I/O:
3. Op-Amp
Penguat operasional atau yang dikenal sebagai Op-Amp merupakan suatu rangkaian terintegrasi atau IC yang memiliki fungsi sebagai penguat sinyal, dengan beberapa konfigurasi. Secara ideal Op-Amp memiliki impedansi masukan dan penguatan yang tak berhingga serta impedansi keluaran sama dengan nol. Dalam prakteknya, Op-Amp memiliki impedansi masukan dan penguatan yang besar serta impedansi keluaran yang kecil.
a. Buffer
Buffer merupakan rangkaian yang dapat menjafga aris agar tetap apda niali yang telah ditentukan.
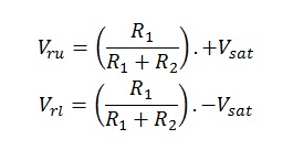
b. Inverting amplifier
d. Komparator
e. Adder
Op-Amp memiliki beberapa karakteristik, diantaranya:
a. Penguat tegangan tak berhingga (AV = ∼)
b. Impedansi input tak berhingga (rin = ∼)
c. Impedansi output nol (ro = 0)
d. Bandwidth tak berhingga (BW = ∼)
e. Tegangan offset nol pada tegangan input (Eo = 0 untuk Ein = 0)
4. Sensor LDR
Sensor MQ-2 adalah salah satu sensor yang sensitif terhadap asap rokok. Bahan utama sensor ini adalah SnO2 dengan konduktifitas rendah pada udara bersih. Jika terdapat kebocoran gas konduktifitas sensor menjadi lebih tinggi, setiap kenaikan konsentrasi gas maka konduktifitas sensor juga naik. MQ-2 sensitif terhadap gas LPG, Propana, Hidrogen, Karbon Monoksida, Metana dan Alkohol serta gas mudah terbakar diudara lainnya.
Prinsip Kerja:
Sensor Asap MQ-2
berfungsi untuk mendeteksi keberadaan asap yang berasal dari gas mudah terbakar
di udara. Pada dasarnya sensor ini terdiri dari tabung aluminium yang
dikelilingi oleh silikon dan di pusatnya ada elektroda yang terbuat dari aurum
di mana ada element pemanasnya. Ketika terjadi proses pemanasan, kumparan akan dipanaskan
sehingga SnO2 keramik menjadi semikonduktor atau sebagai penghantar sehingga
melepaskan elektron dan ketika asap dideteksi oleh sensor dan mencapai aurum
elektroda maka output sensor MQ-2
akan menghasilkan tegangan analog. Sensor MQ-2 ini memiliki 6 buah masukan yang
terdiri dari tiga buah power supply (Vcc)
sebasar +5 volt untuk mengaktifkan heater
dan sensor, Vss (Ground), dan pin
keluaran dari sensor tersebut.
5. Flame Sensor
Salah satu detektor yang memiliki fungsi terpenting adalah detektor api atau yang biasa disebut dengan Flame Detector yang mampu mengaktifkan alarm bila mendeteksi adanya percikan api yang berisiko menyebabkan bencana kebakaran. Namun, saat memilih Flame Detector, pengguna diharuskan telah benar-benar paham atas prinsip dari alat detektor tersebut dan meninjaunya demi mendapatkan Flame Detector yang sesuai dengan aktivitas di dalam lokasi dan tingkat kebutuhannya, serta bagaimana konsekuensi risiko yang mungkin terjadi.
Prinsip Flame Detektor tersebut menggunakan metode optik yang bekerja seperti UV (ultraviolet) dan IR (infrared), pencitraan visual api, serta spektroskopi yang berfungsi untuk mengidentifikasi percikan api atau flame. Reaksi intens bahan yang memicu kebakaran dapat ditandai dari UV, terlihatnya emisi karbondioksida, dan radiasi dari infrared. Flame Detector juga mampu membedakan antara False Alarm atau peringatan palsu dengan api kebakaran sungguhan melalui komponen sistem yang dirancang dengan fungsi mendeteksi adanya penyerapan cahaya yang terjadi pada gelombang tertentu.
Tingkat potensi risiko kebakaran dari setiap jenis bahan semakin meluas mengingat semakin canggihnya teknologi penginderaan api atau teknologi Flame Sensing. Pada umumnya bahan bakar industri yang tergolong mudah terbakar antara lain: bensin, hidrogen, belerang, alkohol, LNG/LPG, minyak tanah, kertas, disel, kayu, jet bahan bakar, tekstil, ethylene, dan pelarut.
a. Prosedur Percobaan
1. Siapkan semua alat dan bahan yang diperlukan pada aplikasi proteus.
2. Rangkai setiap komponen bahan dan juga alat menjadi rangkaian yang akan dibuat.
3. Ubah spesifikasi komponen sesuai kebutuhan.
4. Jalankan simulasi rangkaian.
b. Rangkaian Simulasi
A. Pada saat Flame Sensor Bernilai 1
Maka pada outputnya mengalir arus menuju Q2. Karena ada arus yang mengalir dari sumber tegangan kemudian disearah kan pada Dioda D4 lalu menuju kaki kolektor Q2, maka Transistor akan On, sehingga akan mengaktifkan Relay 2, dan membuat Buzzer, Solenoid Valve, kipas angin dan LED(D1) akan On.
C. Pada Saat MQ-2 dan Flame Sensor bernilai 1
Sama seperti kondisi A, sensor MQ-2 akan bernilai 1 jika flame sensor juga bernilai. sehingga Relay 1 On yang kemudian Membuat Motor, buzzer, dan LED On. Relay 2 juga on sehingga motor dan LED akan On.
D. Pada Saat MQ-2 dan Flame Sensor bernilai 0
Maka Receiver/Output akan Off, sehingga membuat semuanya mati, yang berarti menandakan bahwa Kondisi Rumah Aman.
c. Video
Komentar
Posting Komentar